Toggle navigation
最新消息
線上論壇
考古題
常見問題
帳號申請
忘記密碼
題庫分類
公職考試
鐵路特考
高普考
初等五等
地方特考(三、四等)
一般/警察特考
司法特考
移民特考
關務特考
民航特考
調查局
海巡特考
稅務特考/國稅局約僱人員
身障特考
外交特考
機關就業
經濟部國營事業聯合招考
國營臺鐵公司
捷運公司
台電新進雇員
自來水公司評價人員
中油公司
中鋼公司
中華郵政
中華電信
臺灣菸酒
臺灣港務
臺鐵營運人員
農會
漁會
農田水利
環保局清潔隊員、稽查員
公路監理
台糖
臺北自來水
經濟部工業局
公幼教保人員
證券類
證券商業務員
證券商高級業務員
期貨商業務員
投信投顧業務員
企業內部控制
股務人員
票券商業務員
證券分析師
金融市場常識與職業道德
債券人員
銀行類
NEW!!! 高齡金融規劃顧問師資格測驗
金融人員基礎學科測驗(FIT)
金融科技力知識證照
理財規劃人員證照
信託業務人員證照
銀行內部控制與內部稽核證照(一般金融)
初階授信人員證照
初階外匯人員證照
銀行內部控制與內部稽核證照(消費金融)
公民銀行招考(一般金融組)
公民銀行招考(共同科目)
公民銀行招考(儲備人員)
公民銀行招考(工員)
證照類
導遊領隊人員
不動產經紀人
地政士
消防設備人員
門市服務丙級技術士
保險類
投資型保險業務員
人身保險代理人
財產保險經紀人
財會類
記帳士
會計事務技術士乙級
中小企財務人員
會計事務技術士丙級
國貿類
國貿業務技術士乙級
國貿大會考
國貿業務技術士丙級
專責報關人員
兩岸暨東協經貿商務人才
升學考試
警專正期班
四技二專
升大分科測驗
模擬考試
警專正期班第36期線上模擬考試(完整版)
警專考試能力測驗分析
軍事考試
軍事考試
初等五等 » 電子工程 » 模擬題庫 » 基本電學大意
單選題
每題2分
1. 承上題,則此電感L
1
的端電壓v
L1
的響應為何?
(A)v
L1
=-40e
-
0.1t
V
(B)v
L1
=40e
-
10t
V
(C)v
L1
=-80e
-
10t
V
(D)v
L1
=80(1-e
-
5t
)V。
2. 如圖所示電路,試求流過電壓源之電流I
2
為何?
(A)0.1A
(B)-0.3A
(C)-0.4A
(D)0.45A。
3. 如圖所示,R
L
為何值可獲取最大功率?
(A)1Ω
(B)2Ω
(C)3Ω
(D)4Ω。
4. 如圖所示之電路,A點電壓為何?
(A)4.5V
(B)6V
(C)7.5V
(D)9V。
5. 有一負載為6Ω電阻與38mH電感並聯,試問在120V/60Hz之下的功率因數為多少?
(A)0.419
(B)0.633
(C)0.804
(D)0.922。
6. 如圖所示,螺線管線圈中已知磁阻為5×10
6
安培/韋伯、匝數為500匝,則該線圈之電感量為多少亨利?
(A)0.001亨利
(B)0.01亨利
(C)0.025亨利
(D)0.05亨利。
7. 如圖所示,R
1
=6Ω,R
2
=3Ω,C=2F,開關閉合前,電容器電壓為6V,則開關閉合瞬間電流i為多少?
(A)1A
(B)3A
(C)6A
(D)12A。
8. 2H電感器通以週期性電流i(t),如圖所示為i(t)的一個週期且其單位為安培,該電感器之自感應電壓為v(t),則v(t)的平均值為多少伏特?
(A)0
(B)3
(C)6
(D)12。
9. 電感值相同的兩個電感器同向串聯使用,彼此間的磁通鏈耦合係數為0.5,互感值為M,且串聯等效電感值為4.5H。若僅改變導線的接點,將其中一個電感器反向串聯使用,但保持彼此間的互感值不變。則反向串聯後的等效電感值應為多少?
(A)4.0H
(B)3.5H
(C)1.5H
(D)0.5H。
10. 發電機轉子線圈旋轉一週,所感應出之正弦波個數(f)與磁極數(P)之關係為何?
(A)f=P
(B)f=P/2
(C)f=2P
(D)f=0.2P。
11. 如圖所示電路,求開關S閉合後,到達穩態時之I
L
及V
C
值各為何?
(A)I
L
=0A,V
C
=0V
(B)I
L
=0A,V
C
=10V
(C)I
L
=1A,V
C
=10V
(D)I
L
=1A,V
C
=100V。
12. 如圖所示電路,R
L
為可變電阻,試求R
L
為幾歐姆時,可獲得最大功率?
(A)3
(B)4
(C)6
(D)10。
13. 如圖所示電路,C
1
=3法拉,C
2
=2法拉,已知電容器C
3
兩端的電壓V
3
為2伏特,試問C
3
等於多少法拉?
(A)5法拉
(B)3.75法拉
(C)2.5法拉
(D)1法拉。
14. 如圖所示之R-L-C串聯電路,若電源電壓v(t)=100
sin1000t伏特,R=3Ω,L=6mH,C=500μF,求總阻抗大小為多少Ω?
(A)5
(B)6
(C)8
(D)10。
15. 如圖所示,設V
X
=3V,I
X
=-2A,試問這個電路元件會獲得能量或是消耗能量?
(A)獲得能量
(B)消耗能量
(C)既不獲得也不消耗能量
(D)會自我產生能量。
16. 有一銅線,若體積不變,將長度均勻拉長1倍,則在外加電壓不變之情形下,流經銅線之電流為未拉長時之幾倍?
(A)0.25
(B)0.5
(C)2
(D)4。
17. 弦波電壓源v
S
=5sin(4×3.14×10
3
t+30°)V驅動之RLC串聯電路,電感器L與電容器C的電抗比值大小為100,該電路之諧振頻率應為多少Hz?
(A)20Hz
(B)25Hz
(C)100Hz
(D)200Hz。
18. 設真空之比例常數k為9×10
9
N-m
2
/coul
2
,若有1×10
-3
coul之正電荷與5×10
-5
coul之負電荷,相距5m,試求其間之靜電力?
(A)9N,斥力
(B)9N,吸力
(C)18N,斥力
(D)18N,吸力。
19. 「庫倫/秒」與下列那一單位等效?
(A)伏特
(B)安培
(C)瓦特
(D)焦耳。
20. 陶瓷電容器上標示為302J,則其電容值為多少?
(A)0.03μF±5%
(B)3nF±5%
(C)0.3nF±10%
(D)0.03nF±2%。
21. 以i
S
=800sin(10
4
t+30()mA驅動的RLC並聯諧振電路中,L=1mH、C=0.01mF,已知其品質因數Q
0
=20,則該電路之3分貝頻寬(BW)應為多少rad/s?
(A)500rad/s
(B)800rad/s
(C)1600rad/s
(D)2000rad/s。
22. 將三個相同電量的正電荷分別放在邊長為2公分的正三角形頂點,此時在三角形中心點的電位設為V
1
;而將四個與前述相同電量的正電荷分別放在邊長為4公分的正四邊形頂點,在四邊形中心點的電位設為V
2
。試問
為何?
(A)
(B)
(C)
(D)
。
23. 如圖所示電路,求電壓v之值約為何?
(A)3.6V
(B)3.9V
(C)4.0V
(D)4.2V。
24. 某電路如圖所示,電阻4kΩ之端電壓V
ab
為多少V?
(A)4
(B)10
(C)12
(D)24。
25. 移動1庫倫之電荷作1焦耳之功,定義為:
(A)1韋伯
(B)1瓦特
(C)1安培
(D)1伏特。
26. 如圖示電路,試求電壓V
o
:
(A)8.3∠-20°V
(B)9.2∠16.16°V
(C)12∠-13.43°V
(D)7∠-26.16°V
27. 如圖所示電路,試求可變電阻R
L
可獲得之最大功率為幾瓦?
(A)2
(B)3
(C)5
(D)6。
28. 圖二為圖一所示電路之等效T型電路,則圖二中之三個等效電阻R
1
、R
2
及R
3
各為多少Ω?
(A)R
1
=0.3Ω,R
2
=0.6Ω,R
3
=1.8Ω
(B)R
1
=0.6Ω,R
2
=0.3Ω,R
3
=1.8Ω
(C)R
1
=2Ω,R
2
=10Ω,R
3
=8Ω
(D)R
1
=3Ω,R
2
=18Ω,R
3
=6Ω。
29. 單位面積所通過的電力線總數,定義為:
(A)電場強度
(B)電通密度
(C)電位梯度
(D)電動勢。
30. 右圖為左圖之戴維寧等效電路,其中I
L
為2A,則電壓源V
oc
之值為何?
(A)40V
(B)50V
(C)60V
(D)80V。
31. 如圖所示RL並聯電路,在時間t=0時,開關SW閉合,若外加直流電流源I=2安培,當t=4毫秒時,試求跨於電感上之電壓約為多少伏特?
(A)7.38伏特
(B)13.5伏特
(C)0.10伏特
(D)0.04伏特。
32. 一具馬達在120V/60Hz之下,輸入的電流為80A,而輸出為10馬力(1馬力=746W)。若馬達的機械功率轉換效率為90%,試求其虛功率(reactive power)?
(A)1.32kvar
(B)4.85kvar
(C)7.46kvar
(D)9.6kvar。
33. 如圖所示電路,求電壓v之值為何?
(A)3V
(B)2.5V
(C)2V
(D)1.5V。
34. 有一負載為6Ω電阻與38mH電感並聯,試問在120V/60Hz之下的功率因數為多少?
(A)0.419
(B)0.633
(C)0.804
(D)0.922。
35. 如圖所示之電路中,已知電壓源之電壓E為10V,電流源之電流I為1A,則電流源兩端之電壓V為多少伏特?
(A)4
(B)6
(C)10
(D)16。
36. 如圖示電路,求I
1
與I
2
各為多少安培?
(A)I
1
=6mA,I
2
=1mA
(B)I
1
=6mA,I
2
=2mA
(C)I
1
=6mA,I
2
=3mA
(D)I
1
=6mA,I
2
=4mA。
37. 有一交流電路之電壓v(t)=200sin(314t+30°),其頻率為多少Hz?
(A)30
(B)50
(C)60
(D)120。
38. 圖示電路中,若電源電壓為100∠10(伏特,則當穩態時電流I之大小應為多少安培?
(A)2
(B)5
(C)10
(D)20。
39. 電量之單位為何?
(A)法拉
(B)焦耳
(C)亨利
(D)庫倫。
40. 一電容器連接於一10V之直流電源上,以1mA之電流向電容器充電2秒,則該電容器儲存之電能為多少焦耳?
(A)0.01
(B)0.001
(C)0.0001
(D)0.00001。
41. 試求圖中6Ω電阻兩端a-b點間之戴維寧等效電壓為何?
(A)12伏特
(B)18伏特
(C)24伏特
(D)36伏特。
42. 有一耐壓為220伏特的電阻器接於110伏特的電源時,消耗100瓦特,則接於220伏特的電源時,消耗功率為多少瓦特?
(A)200
(B)300
(C)400
(D)600。
43. 試求圖中6Ω電阻兩端a-b點間之戴維寧等效電壓為何?
(A)12伏特
(B)18伏特
(C)24伏特
(D)36伏特。
44. 兩組相似但匝數分別為N
1
與N
2
的線圈,繞在同一個具有磁場變動的鐵心上。若因為磁場變動,使得匝數N
1
的線圈兩端之感應電壓為V
1
伏特,則匝數N
2
的線圈兩端之感應電壓為多少伏特?
(A)(N
1
.V
1
)/N
2
(B)N
1
/(N
2
.V
1
)
(C)(N
2
.V
1
)/N
1
(D)N
2
/(N
1
.V
1
)。
45. 如圖所示RL並聯電路,在時間t=0時,開關SW閉合,若外加直流電流源I=2安培,當t=4毫秒時,試求跨於電感上之電壓約為多少伏特?
(A)7.38伏特
(B)13.5伏特
(C)0.10伏特
(D)0.04伏特。
46. 如圖示電路,等效電阻R
ab
為多少Ω?
(A)8
(B)12
(C)16
(D)18。
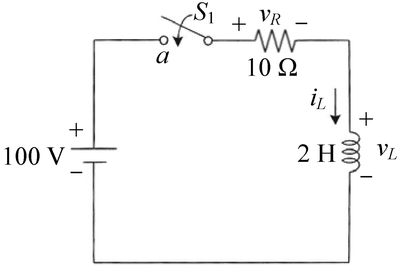
47. 如右圖所示,當時間t=0時,開關S
1
置於a點,且電流i
L
的初值為零,此電流i
L
的響應為何?
(A)i
L
=10e
-
5t
A
(B)i
L
=10(1-e
-
5t
)A
(C)i
L
=10e
-
0.2t
A
(D)i
L
=10(1-e
-
0.2t
)A。
48. 有一串聯電路,外加一相量式為100∠0°之正弦電壓源,若其串聯阻抗為3-j4,則此電路之串聯電流之相量式為何?
(A)20∠36.9°
(B)20∠-36.9°
(C)20∠53.1°
(D)20∠-53.1°。
49. 3個電阻R
1
、R
2
及R
3
並聯後,再由一直流電壓源V供電,若已知電阻值R
1
<R
2
<R
3
,且流經R
1
、R
2
及R
3
之電流分別為I
R1
、I
R2
及I
R3
,試問下列何者正確?
(A)I
R1
=I
R2
=I
R3
(B)I
R1
<I
R2
<I
R3
(C)I
R1
=I
R2
+I
R3
(D)I
R1
>I
R2
>I
R3
。
50. 承上題,求電感端電壓v
L
的響應為何?
(A)v
L
=100e
-
5t
V
(B)v
L
=100(1-e
-
5t
)V
(C)v
L
=100e
-
0.2t
V
(D)v
L
=100(1-e
-
0.2t
)V。